具体如图:

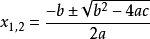
根据一元二次方程求根公式韦达定理:
,当
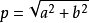
时,方程无实根,但在复数范围内有2个复根。复根的求法为
(其中
是复数,
)。
由于共轭复数的定义是形如
的形式,称
与
为共轭复数。
另一种表达方法可用向量法表达:
,
。其中
,tanΩ=b/a。
由于一元二次方程的两根满足上述形式,故一元二次方程在
时的两根为共轭复根。
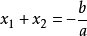
根与系数关系:
,
。
扩展资料:
共轭复根经常出现于一元二次方程中,若用公式法解得根的判别式小于零,则该方程的根为一对共轭复根。
复数的加法法则:设z1=a+bi,z2=c+di是任意两个复数。两者和的实部是原来两个复数实部的和,它的虚部是原来两个虚部的和。两个复数的和依然是复数。即 (a+bi)±(c+di)=(a±c)+(b±d)i.
参考资料来源:百度百科——共轭复根
