1、判断风向:
风向玫瑰图上所表示的风向即风的来向,是指从外面吹向地区中心的方向。
2、判断风向频率:
风向频率是在一定时间内各种风向出现的次数占所有观察次数的百分比。风玫
瑰图中线段最长者,即外面到中心的距离越大,表示风频越大,其为当地主导风向;外面到中心
的距离越小,表示风频越小,其为当地最小风频。

扩展资料
风玫瑰图绘制方法
1.掌握某地区气象台观测在一段时间内详实的风向统计资料
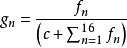
2.统计在这段时间内各种风向的频率,计算公式为:
,其中
为n方向的风向频率,
为这段时间内出现n方向风的次数,c为静风次
数。
3.根据各个方向风的出现频率,以相应的比例长度按风向中心吹,描在坐标纸上。将各相邻方向的
端点用直线连接起来,绘成一个形成一个宛如玫瑰的闭合折线,得到风向玫瑰图。
参考资料来源: 百度百科 风玫瑰图
