sin30度等于二分之一。
在直角三角形中,∠α(不是直角)的对边与斜边的比叫做∠α的正弦,记作sinα,即sinα=∠α的对边/∠α的斜边 。sinα在拉丁文中记做sinus。
在古代的说法当中,正弦是勾与弦的比例。 古代说的“勾三股四弦五”中的“弦”,就是直角三角形中的斜边。 股就是人的大腿,古人称直角三角形中长的那个直角边为“股”。
正弦是∠α(非直角)的对边与斜边的比,余弦是∠α(非直角)的邻边与斜边的比。
勾股弦放到圆里。弦是圆周上两点连线。最大的弦是直径。 把直角三角形的弦放在直径上,股就是长的弦,即正弦,而勾就是短的弦,即余弦。
按现代说法,正弦是直角三角形某个角(非直角)的对边与斜边之比,即:对边/斜边。

扩展资料公式
两角和差公式

诱导公式





二倍角公式

sin30度=2分之1
~亲,如果你认可我的回答,请点击【采纳为满意回答】按钮~
~手机提问的朋友在客户端上评价点【采纳回答】即可。
~你的采纳是我前进的动力~~
O(∩_∩)O,互相帮助,祝共同进步!
sin=1/csc,cos=1/cec,tan=1/cot tan=sin/cos cos/sin=cot
sin30=1/2 cos30=√3/2 tan30=sin30/cos30=(1/2)/√3/2=√3/3
还可以用诱导公式,和角公式等算
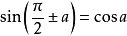
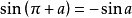
诱导公式:
概念:奇变偶不变,符号看象限。
例如:
sin30? =sin(90-60)=sin(π/2+60) π/2的倍数是奇数1,所以要变,变相反,即cos
有因为90-60=30 sin在三角函数符合上一二象限是正的所以为正,即所得为cos60=1/2
即sin30=cos60=1/2
原创希望满意
1/2
1/2
