1、因为碳原子的连接方式不同而形成的异构体,如正丁烷和异丁烷。
2、因为官能团的位置不同而形成的异构体,如正丙醇和异丙醇。
3、因为官能团不同而形成的异构体,如甲醚和乙醇。
例:

应代表羧酸和酯,其中羧酸

的种类等于

的种类,故有酯必须满足RCOOR′(R′只能为烃基,不能为氢原子),R与R′应共含3个碳原子,可能为:


扩展资料:
官能团异类异构:由于官能团的不同而引起的异构现象,主要有:
1、单烯烃与环烷烃:通式为

。
2、二烯烃、单炔烃与环单烯烃:通式为

。
3、苯及其同系物与多烯:通式为

。
4、饱和一元醇与饱和一元醚:通式为

。
5、饱和一元醛、饱和一元酮、烯醇:通式为

。
6、饱和一元羧酸、饱和一元酯、羟基醛:通式为

。
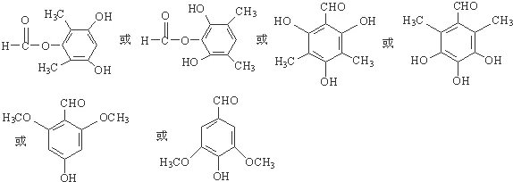
7、酚、芳香醇、芳香醚:通式为

。
8、葡萄糖与果糖;蔗糖与麦芽糖。
9、氨基酸

与硝基化合物

。
参考资料:
高中阶段的同分异构现象主要有4种。即碳架异构、官能团位置异构和官能团类别异构和顺反异构。
1.碳架异构指由于碳链(碳环)不同产生的异构现象,如正丁烷和异丁烷。
2.官能团位置异构(简称位置异构)指官能团在碳链或碳环上的位置不同而产生的异构现象。如1-氯丙烷和2-氯丙烷。
3.官能团类别异构(简称官能团异构)是指由于官能团的种类不同为产生的异构现象,例如,分子式为C2H6O的有机物,可能为乙醇C2H5OH,也可能是二甲醚CH3OCH3。乙醇中官能团为羟基(-OH),二甲醚中官能团为醚键(-O-);分子式为C2H6O2,可能是甲酸甲酯HCOOCH3,也可能是乙酸CH3COOH,甲酸甲酯中官能团为酯基(-COOR),乙酸中官能团为羧基(-COOH)。
→官能团异构主要有以下几种:
①烯烃 & 环烷烃 ,如丙烯与环丙烷
②二烯烃 & 炔烃 ,如1,3-丁二烯和丁炔
③饱和一元醇 & 醚 ,如乙醇和二甲醚
④饱和一元醛 & 酮 ,如丙醛和丙酮
⑤饱和一元羧酸 & 酯 ,如乙酸和甲酸甲酯
⑥芳香醇 & 酚 ,如苯甲醇和邻(/间/对)甲基苯酚
⑦硝基化合物 & 氨基酸
除此之外还有:葡萄糖 & 果糖 , 蔗糖 & 麦芽糖等
4.不饱和烃(包括烯烃、炔烃)的双键,也有C=N双键,N=N双键及环状等化合物中存在顺反异构。
