一、原油特征及组成变化规律
1.单层特征谱图
夏52块沙三中自下而上分为5个砂组,即Ⅴ,Ⅳ,Ⅲ,Ⅱ和Ⅰ砂组。Ⅴ砂组中只有Ⅴ2砂层有单采井并采到了原油样品,Ⅴ1,Ⅴ4和Ⅴ5砂层无单采井,Ⅴ3砂层仅有夏52-423井1口单采井,但未能采到样品。Ⅳ砂组未细分砂层,单采井较多。Ⅲ砂组分为Ⅲ1,Ⅲ2,Ⅲ3,Ⅲ4和Ⅲ5砂层,其中Ⅲ2,Ⅲ4和Ⅲ5砂层无单采井,Ⅲ1砂层有3口单采井,而Ⅲ3砂层只有夏52-403井1口单采井。Ⅱ砂组分为Ⅱ1,Ⅱ2,Ⅱ3,Ⅱ4和Ⅱ5砂层,其中Ⅱ1,Ⅱ2和Ⅱ5砂层均无单采井,Ⅱ3和Ⅱ4砂层分别有1口单采井,即夏52-207井和夏52-217井。Ⅰ砂组分为Ⅰ1,Ⅰ2,Ⅰ3和Ⅰ4砂层,其中Ⅰ1和Ⅰ4砂层无单采井,Ⅰ2砂层有2口单采井,Ⅰ3砂层有3口单采井。
所谓特征谱图是指能够代表单层原油组成特征的谱图,其反映的原油组成特征可以将其与其他单层原油区分开来。但由于原油组成的复杂性和多变性,选取其中变化明显的一些特征参数来表征特征谱图,主要是一些异构烃的比值。因此主要以异构烃组成特征来选取单层原油特征谱图。
(1)Ⅴ2砂层特征谱图
Ⅴ2砂层单采井有夏52-311井、夏52-312井、夏52-401井、夏52-404井和夏52-422井等5口井,但夏52-401井未采到原油样品。从其他4口井原油的饱和烃组成来看,正构烷烃组成以夏52-312井、夏52-404两井最为相似,其次与夏52-422井较为相似,而与夏52-311井差别较大。从各井所处的构造位置来看,夏52-312井与夏52-404井位于夏52块Ⅴ2砂层西部高点,两井相距较近(约500m),因而正构烷烃组成相近。夏52-311井原油中正构烷烃的轻质部分(
东部和西部Ⅴ2砂层原油却存在较明显的成因上的差别。西部夏52-312井和夏52-404井原油中饱和烃重质部分含量明显高于东部两井,特别是C22附近的正构烷烃含量较高,反映了该层原油成熟度西低东高,原油运移方向是自北东向南西。
不同深度位置原油组成也有变化。例如夏52-404井原油nC10和nC11之间有3个异构烷烃峰(峰号为93,95和98),其95号峰强于93和98号峰;而深度较大的夏52-422井和夏52-312井原油则是3峰强度相当。可见,即使深度相差10~15m的同一砂层原油的组成也有微小变化。
总体看来,异构烷烃组成在Ⅴ2砂层原油中变化不大。建议在Ⅴ2砂层埋深2925m以上的合采井计算单层贡献时,以夏52-404井原油为特征谱图;在2925m以下时,以夏52-422井原油作为标准谱图。
(2)Ⅳ砂组特征谱图
夏52块Ⅳ砂组单采井有夏52-27井、夏52-34井、夏52-213井、夏52-406井和夏52-408井,其中夏52-406井未采到原油样品。
从取到的夏52块Ⅳ砂组单采井原油谱图来看,夏52-27井和夏52-34井原油的正构烷烃组成几乎完全一致,夏52-213井原油中
总体看来,Ⅳ砂组这4口单采井原油异构烷烃组成变化不大。选夏52-213井作为Ⅳ砂组标准谱图。当然对具体合采井,可选择距离较近的Ⅳ砂组单采井。
(3)Ⅲ砂组特征谱图
Ⅲ砂组中Ⅲ2,Ⅲ4和Ⅲ5砂层均无单采井。Ⅲ3砂层只有1 口单采井,即夏52-403井,以该井原油谱图作为Ⅲ3砂层特征谱图。Ⅲ1砂层有3 口单采井,即夏52-212井、夏52-223井和夏52-35井。这3口井原油的饱和烃组成非常相似,只是夏52-212井原油
(4)Ⅱ砂组特征谱图
Ⅱ砂组中的Ⅱ1,Ⅱ2和Ⅱ5砂层均无单采井;Ⅱ3砂层仅有夏52-207井单采,以其原油谱图作为Ⅱ3砂层特征谱图;Ⅱ4砂层也只有夏52-217井单采,以其原油谱图作为Ⅱ4砂层特征谱图。
(5)Ⅰ砂组特征谱图
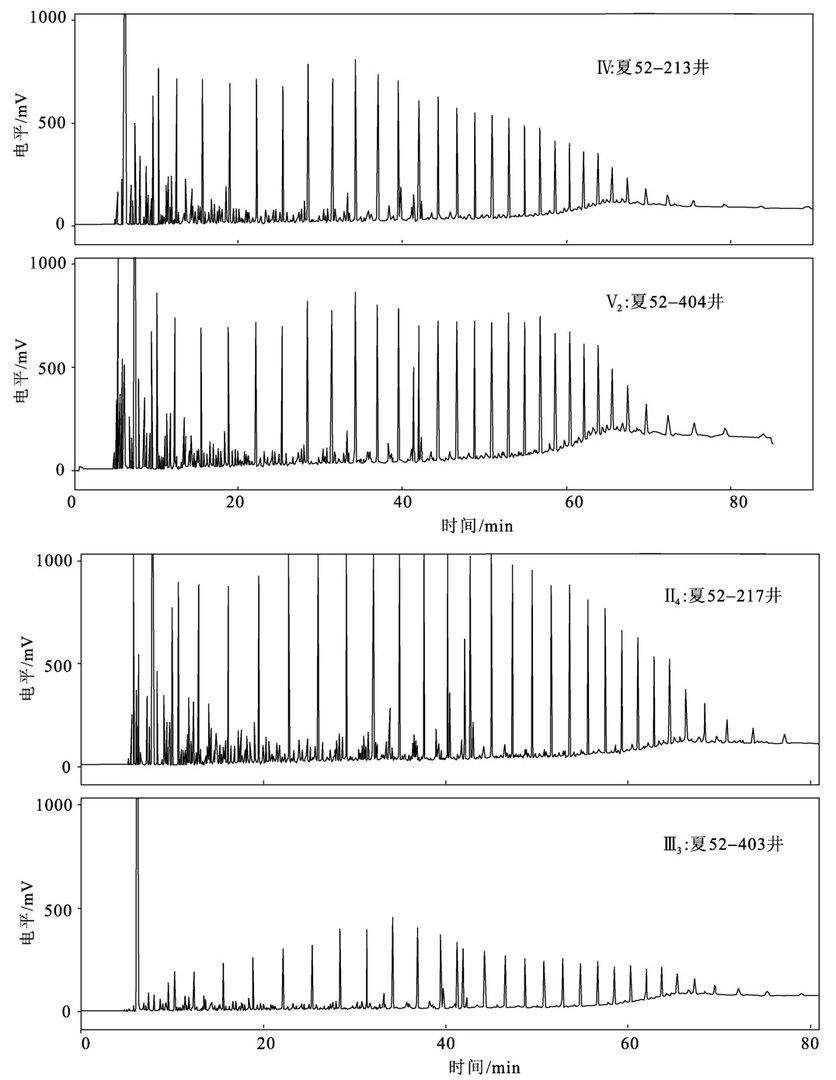
Ⅰ砂组中Ⅰ1和Ⅰ4砂层无单采井。Ⅰ2砂层有夏52-203井和夏52-205井两口单采井,但仅采到夏52-203井原油样品,以其谱图作为Ⅰ2砂层特征谱图。Ⅰ3砂层有单采井3口,即夏52-201井、夏52-211井和夏52-216井。这3口井原油的饱和烃组成基本相似,但夏52-201井原油正构烷烃轻质部分含量较高,夏52-211井187号峰明显高于186号峰;而另外两井原油正构烷烃轻质部分含量较少,187号峰和186号峰强度基本相当。若非选择187号峰为特征峰,则可选择3 口井中任一口井的原油谱图作为特征谱图;若选187号峰为特征峰,则以距离合采井较近为原则选择特征谱图。各单层特征谱图见图6-9和图6-10。

图6-9 夏52块沙三中各单层特征谱图(一)

图6-10 夏52块沙三中各单层特征谱图(二)
2.单层原油组成变化特征
(1)单采井原油组成随时间的变化
1)夏52-213井:该井于1999年1月和8月两次采样分析。两谱图特征基本一致,但1999年1月样品(分析时未加标样蒽)的饱和烃轻质部分含量较高。
2)夏52-312井:该井于1999年8月和2000年10月两次采样分析。两谱图特征基本一致,但1999年8月样品的饱和烃轻质部分含量较高。可见单采井随开采时间增长,原油中饱和烃的轻质部分含量减少。这可能与长时间注水有关,因为饱和烃轻质部分在水中的溶解性能比重质部分要好一些。
(2)合采井原油组成随时间的变化
1)夏52-218井:该井为沙三中Ⅱ3和Ⅱ4砂层合采,分别于1999年1月和8月进行了采样分析。可以看出,1999年1月原油样品的饱和烃轻质部分含量明显偏高,而1999年8月原油样品含量较低。样品异构烷烃组成较稳定,基本没有变化。
2)夏52-x12井:该井为沙三中Ⅲ3,Ⅴ2和Ⅴ4砂层合采,分别于1999年1月和8月进行了采样分析。1999年1月原油样品的饱和烃轻质部分含量也是明显偏高,1999年8月原油样品含量较低。样品异构烷烃组成也有一些变化,例如前者谱图129 号峰强于128号峰,而后者则相反。这可能是由于不同时期不同层位贡献变化造成的。
(3)同层原油组成的平面变化
分析结果表明,夏52块原油烃类总体组成有较好的相似性,但不同砂层原油之间仍存在可以检测得到的差异。同一单层不同井原油具有非常好的一致性,不同层原油的差异稍大一些,这说明该区原油成分的差异主要受各单砂层的控制。例如夏52块沙三中Ⅳ砂组单采井夏52-27井、夏52-34井、夏52-213井和夏52-408井原油组成基本一致,而且夏52-213井两次采样原油组成比较稳定,说明单层原油不仅平面上成分变化较小,而且单采原油随开采时间的变化也较小。故利用单采原油建立单层标准谱图具有代表性和持续性。
夏52块单采沙三中Ⅲ砂组的夏52-223井、夏52-212井和夏52-35井原油也具有相似的组成特征。这说明在连通性好的砂层中,该断块同一层原油在横向上具有稳定性和一致性。
而单采沙三中Ⅰ砂组3砂层的夏52-201井和夏52-211井、夏52-216井之间有较显著的区别。夏52-211井和夏52-216井虽相距较远,但同一层原油组成相似;而夏52-201井虽然与夏52-211井相距较近,但原油正构烷烃轻质部分含量较高,可能是由于其他两井综合含水较高所致。
合采原油性质的平面变化规律取决于单砂层原油的性质及其贡献的变化。例如以沙三中Ⅲ1和Ⅲ2砂层合采的夏52-31井、夏52-21井和夏52-11井,前两口井虽相距较远,但原油组成很相似;而夏52-11井与其相比,轻质烃(
二、合采井单层原油产量
1.合采井情况分析
夏52块在18口合采井采到原油样品。根据夏52块的实际情况,主要研究沙三中各砂层的情况,单层划分以砂层组之下的砂层为标准,不再划分小层。
在这18口合采井中,两层合采井有11口,占61.1%,即夏52-413井、夏52-415井、夏52-21井、夏52-31井、夏52-11井、夏52-221井、夏52-224井、夏52-202井、夏52-108井、夏52-218井和夏32-17井;三层合采井2口,即夏52-x12井和夏52-13井;四层合采井也有2口,即夏52-411井和夏52-x15井;其余为五层合采井,共2口,即夏52-409井和夏52-2井。
从合采井采油层位看,几乎覆盖了沙三中5个砂层组的所有砂层,但有单层原油样品的层位不全,缺少Ⅴ5,Ⅴ4,Ⅴ3,Ⅴ1,Ⅲ2,Ⅱ5,Ⅱ1和Ⅰ1。因此,有些合采井无法定量计算合采井中单层的产油贡献,只能进行一些定性推测。
2.两层合采井
(1)夏52-218井
夏52-218井是沙三中Ⅱ3和Ⅱ4砂层合采井,单层原油代表井分别是夏52-207井(Ⅱ3)和夏52-217井(Ⅱ4)。色谱峰特征比值38/41,64/66,77/80和127/128在两层原油中差异较大,而在合采井夏52-218井具有混合特征。夏52-218井两次采样各单层的贡献基本相同(表6-6 至表6-9),即Ⅱ3砂层的贡献约占81%,Ⅱ4砂层的贡献约占19%。

表6-6 夏52-218井原油单层产量计算特征化合物比值(一次采样)

表6-7 夏52-218井原油单层产量计算结果(一次采样)

表6-8 夏52-218井原油单层产量计算特征化合物比值(二次采样)

表6-9 夏52-218井原油单层产量计算结果(二次采样)
根据2000年4月11日原油日产3.6t,日产水7.8m3,计算知Ⅱ3砂层对原油的贡献约为2.92t,而Ⅱ4砂层的贡献为0.68t。由于Ⅱ3砂层已经注水,而Ⅱ4砂层尚未注水,且后者孔渗性较差,推测该井的水主要来自Ⅱ3;Ⅱ4砂层尚有价值,该井可暂不实施措施。
(2)夏52-221井
夏52-221井是沙三中Ⅱ3和Ⅲ1合采井。单层原油代表井Ⅱ3砂层是夏52-207井;而Ⅲ1砂层单采井为夏52-223井、夏52-212井和夏52-35井,选择距夏52-221井较近的夏52-223井和夏52-212井作为Ⅲ1砂层代表井(表6-10)。

表6-10 夏52块合采井单层原油贡献产量计算结果
可见在夏52-221井中,Ⅱ3砂层贡献约占34%,Ⅲ1砂层占67%。按日产原油3.8 t计算,Ⅱ3砂层对原油的贡献约为1.29t,Ⅲ1砂层的贡献为2.51t。夏52-221井日产水23.2m3,由于Ⅲ1砂层注水井夏52-23井的影响及其较好的物性,推测水可能主要来自Ⅲ1砂层,可暂不采取措施。
(3)夏52-x413和夏52-415井
这两口井均以Ⅴ3和Ⅴ2两层合采。现仅有Ⅴ2单采原油,单采井有夏52-422井、夏52-311井和夏52-312井。Ⅴ3单采井只有夏52-423井,然而始终没有采到该井的原油样品。与夏52-x413井相距较近的井是夏52-422井,与夏52-415井相距较近的井是夏52-312井。相比之下,夏52-422井与夏52-x413井和夏52-415井的原油谱图相似,而夏52-312井却有较大差异,可能是由于夏52-x413井和夏52-415井均以Ⅴ3砂层贡献为主。Ⅴ2砂层非均质性强,故夏52-312井与夏52-422井之间虽然变化较大,但未在夏52-413井和夏52-415井之间明显反映出来,说明Ⅴ2砂层未对两合采井的原油起主要贡献,这与原来的地质认识稍有差别。
根据2000年4月11日夏52-x413井原油日产10.0t,日产水0.6m3,夏52-415井原油日产7.5t,日产水4.2m3,这两口井可暂不实施措施。
(4)夏52-21井、夏52-31井、夏52-11井和夏32-17井
这4口井均以Ⅲ1和Ⅲ2两层合采。现仅有Ⅲ1单采原油样品,单采井有夏52-212井、夏52-223井和夏52-35井。其中夏52-212井与夏52-21井、夏52-31井和夏32-17井相距较近,以夏52-212井原油作为Ⅲ1的标准谱图。而Ⅲ2砂层没有单采井。Ⅲ1砂层原油的色谱图与这4口合采井原油非常相似,可能是Ⅲ2与Ⅲ1原油组成相近的原因。相比之下,夏52-11井Ⅲ1砂层的贡献最小,次为夏52-31井和夏52-21井,而夏32-17井中Ⅲ1砂层贡献最大,但仍以Ⅲ2砂层贡献为主(这与地质认识是一致的)。
Ⅱ3砂层原油色谱图与夏52-224井非常接近,推测以Ⅱ3砂层贡献为主。
该井日产油很低(2000年4月11日日产油0.7t,日产水11.6m3),说明Ⅱ1砂层已经基本上没有贡献,可关闭夏52-224井的Ⅱ1砂层。
(5)52-224井
该井以Ⅱ1和Ⅱ3砂层合采,现有Ⅱ3砂层单采井52-207,而无Ⅱ1砂层单采井。Ⅱ3砂层色谱图与52-224井非常接近,推测以Ⅱ3砂层贡献为主。
52-224井εr为1.97,Ⅱ3砂层单采井52-207井εr为2.43,两井原油紫外吸收曲线相似,推测52-224井中以Ⅱ3砂层产油为主,但优势并不特别明显。
该井日产油很低(2000年4月11日日产油0.7t,日产水11.6m3),说明Ⅱ1砂层已经基本上没有贡献,可关闭52-224井的Ⅱ1砂层。
(6)夏52-202井
该井以Ⅰ3和Ⅱ1砂层合采。现有Ⅰ3砂层单采井夏52-201井、夏52-211井和夏52-216井,无Ⅱ1砂层单采井。对比表明,夏52-202井与夏52-201井原油色谱几乎完全一致,然而同为Ⅰ3砂层单采井的夏52-211井和夏52-216井与夏52-201井相差较大,如果不是由于构造位置不同所致,则可认为夏52-202井以Ⅰ3砂层贡献为主;但若Ⅰ3砂层平面变化不大,且以夏52-211井和夏52-216井为特征,则可能夏52-201井并非Ⅰ3砂层单采井,可能有Ⅱ1或其他层位原油的贡献。
(7)夏52-108井
该井为Ⅰ1和Ⅰ2砂层合采,现有Ⅰ2砂层单采井,而无Ⅰ1砂层单采井。夏52-203井原油色谱图与夏52-108井相似,推测夏52-108井以Ⅰ2砂层贡献为主。
3.三层及三层以上合采井
(1)夏52-x12井
该井为合采。Ⅳ砂组单采井有夏52-213井、夏52-408井、夏52-34井和夏52-27井,选择夏52-213井为代表。Ⅴ2砂层单采井为夏52-422井、夏52-404井、夏52-311井和夏52-312井,其原油组成非常一致,选择夏52-404井为代表。Ⅲ3砂层单采井为夏52-403井。
通过计算可知,Ⅴ2砂层贡献最小,Ⅳ砂层组贡献率约为34.52%,Ⅲ3砂层贡献率为65.47%。
该井2000年4月11日日产油4.7t,综合含水50.0%。Ⅴ2砂层可能是主要的出水层,可在综合研究后考虑关闭Ⅴ2砂层。
(2)夏52-13井
该井以Ⅲ1,Ⅲ2和Ⅲ3三层合采。Ⅲ1砂层单采井为夏52-212井、夏52-223井和夏52-35井,选择夏52-223井为代表。Ⅲ2砂层无单采井。Ⅲ3砂层单采井为夏52 x403井。但是Ⅲ1,Ⅲ2砂层合采井有夏52-11井、夏52-31井、夏32-17井和夏5221井,可将Ⅲ1,Ⅲ2砂层合采井看作特殊的单采井,将其简化为求Ⅲ1+Ⅲ2与Ⅲ3的两层合采。
经软件计算(表6-10),Ⅲ1+Ⅲ2砂层贡献较小,约为18.66%;Ⅲ3砂层次之,约为81.34%。
(3)夏52-2井
该井以Ⅱ3,Ⅱ4,Ⅲ1,Ⅲ2和Ⅲ3五层合采。有单采井的层为Ⅱ3,Ⅱ4,Ⅲ1和Ⅲ3砂层,代表井分别为夏52-x207井、夏52-217井、夏52-35井和夏52-403井;而Ⅲ3砂层无单采井。
但是有Ⅲ1和Ⅲ2砂层的合采井夏52-11井、夏52-31井、夏32-17井和夏52-21井,也有Ⅱ3和Ⅱ4砂层的合采井夏52-218井,及Ⅲ1,Ⅲ2和Ⅲ3三层的合采井夏52-13井,所以可简化为Ⅱ3,Ⅱ4,Ⅲ3和Ⅲ2+Ⅲ1四层合采或者Ⅱ3+Ⅱ4与Ⅲ3+Ⅲ2+Ⅲ1两层合采。
经色谱图对比,以Ⅱ砂组贡献为主,Ⅱ3+Ⅱ4砂层贡献率约为62%;Ⅲ砂组中Ⅲ1+Ⅲ2+Ⅲ3砂层贡献率约为37%。
(4)夏52-x15井
该井以Ⅱ5,Ⅲ1,Ⅲ2和Ⅳ合采。现有Ⅲ1和Ⅳ单采井,Ⅲ1砂层单采井为夏52-212井、夏52-223井和夏52-35井,选择夏52-35井为代表。Ⅳ砂组单采井有夏52-213井、夏52-408井、夏52-34井和夏53-27井,选择夏52-27井和夏52-408井作为代表。而Ⅱ5和Ⅲ2砂层没有单采井。
根据色谱图对比结果推测,夏52-x15井原油主要贡献者是Ⅲ2砂层,其次为Ⅲ1砂层,再次为Ⅳ砂组,而Ⅱ5砂层贡献最小。建议封堵Ⅱ5砂层。
(5)夏52-411井
该井以Ⅴ2,Ⅴ4和Ⅴ5砂层(包括Ⅴ5砂层的1,2和3小层)合采。现有Ⅴ2砂层单采井夏52-422井、夏52-311井、夏52-401井、夏52-404井和夏52-312井,选择夏52-401井为代表。而Ⅴ4和Ⅴ5砂层没有单采井。
根据色谱图对比,推测夏52-411井主要贡献者是Ⅴ2砂层,其次为Ⅴ4和Ⅴ5砂层。
(6)夏52-409井
该井以Ⅴ2,Ⅴ3,Ⅴ4和Ⅴ5砂层(包括Ⅴ5砂层的1,2和3小层)合采。现仅有Ⅴ2砂层单采井(包括夏52-422井、夏52-311井、夏52-401井、夏52-404井和夏52312井等5口井),选择夏52-404井为代表。而Ⅴ3,Ⅴ4和Ⅴ5砂层没有单采井。
根据色谱图对比推测,该井主要贡献者是Ⅴ2砂层,其次是另外3层。
