6.1.2.1 荧光强度与被测物浓度之间的关系
原子荧光光谱分析是用激发光源照射含有一定浓度的待测元素的原子蒸气,从而使基态原子跃迁到激发态,然后去激发回到较低能态或基态,发出原子荧光。测定原子荧光的强度即可求得待测试样中该元素的含量。
假设原子只吸收某一频率的光能,在被激发至特定的能级后发出荧光,且在荧光池中不被重新吸收。此时发射频率为ν的原子荧光强度Ifν与分析物浓度以及激发光的辐射强度等参数存在以下函数关系:
Ifν= ΦIaν
现代岩矿分析实验教程
式中:Ifν为频率为ν的原子荧光强度;Iaν为被吸收的频率为ν的原子荧光强度;I0ν为光源辐射强度;ν为发射或吸收频率;Φ为原子荧光量子效率;L为吸收光程;Kν为峰值吸收系数;N0为单位长度内基态原子数。
按泰勒级数展开,并考虑当 N 很小时,忽略高次项,则原子荧光强度 If表达式简化为
Ifν=ΦI0νKνLN0
此式为原子荧光定量分析的基本关系式,只有在N0很小时才能成立,Ifν才能与N0成正比,表明AFS仅适用于低含量样品的测定。测定的灵敏度与峰值吸收系数K、吸收光程L、原子荧光量子效率Φ和入射强度I0ν有关。
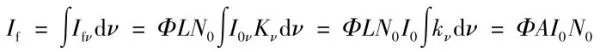
在AFS分析中,重要的是积分系数K和总吸收系数A。在近似理想情况下,这几个系数有如下关系:

现代岩矿分析实验教程

现代岩矿分析实验教程
对Ifν积分可得

现代岩矿分析实验教程
式中:If为原子荧光的积分强度;I0为激发光源的积分强度;A为总吸收系数;N0为原子蒸气中单位体积内某元素的原子总数。
当实验条件固定时,原子荧光强度与能吸收辐射线的原子密度成正比。当原子化效率固定时,If便与试样浓度C成正比。即
If=αC
其中α为常数。上述的线性关系,只在低浓度时成立。随着原子浓度的增加,由于谱线展宽效应、自吸、散射等因素的影响变得不可忽略,使工作曲线出现弯曲。
6.1.2.2 荧光猝灭与量子效率
受激原子和其他粒子碰撞,把一部分能量变成热运动与其他形式的能量,因而发生无辐射的去激发过程,这种现象称为荧光猝灭。荧光猝灭的程度取决于原子化器的气氛,氩气气氛中荧光的猝灭最小。
荧光淬灭有下列几种类型:
(1)与自由原子碰撞
M∗+X=M+X
其中:M∗为激发态原子;M和X为中性原子。
(2)与分子碰撞
M∗+AB=M+AB
这是形成荧光猝灭的主要原因,AB可能是火焰燃烧的产物。
(3)与电子碰撞
M∗+e=M+e′
此反应主要发生在离子焰中,e′为高速电子。
(4)与自由原子碰撞后,形成不同的激发态
M∗+A=MX+A
M∗与MX为原子M的不同激发态。
(5)与分子碰撞后,形成不同的激发态
M∗+AB=MX+AB
(6)化学猝灭反应
M∗+AB=M+A·+B·
其中:AB为火焰中存在的分子,A·、B·为相对稳定的自由基。
为了衡量荧光猝灭程度,提出了荧光量子效率δ的概念,定义为
δ=δf/δa
式中:δf为单位时间发生的荧光能量;δa为单位时间吸收的光能量。
受光激发的原子,可能发射共振荧光,也可能发射非共振荧光,还可能无辐射跃迁至低能级,所以量子效率一般小于1。
