【求解答案】∫ln(1+x)dx = (1+x)ln(1+x) - x + C
【求解思路】1、由于u=1+x,则du=dx,所以可以用凑微分的方法,对其不定积分进行化简计算,即∫ln(1+x)dx =∫ln(1+x)d(1+x)
2、运用已知的积分公式,∫ln(u)du=uln(u)-u+C,直接代入计算得到结果
【求解过程】

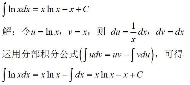
【公式推导】

【本题知识点】
1、不定积分。设f(x)在某区间I上有定义,如果存在函数F(x),使得对于任一x∈I,成立F'(x)=f(x),则称F(x)是f(x)的原函数,且f(x)的不定积分为
∫f(x)dx=F(x)+C
式中:∫——积分号,f(x)dx——被积式,f(x)——被积函数,F(x)——原函数,C——积分常数
注意:如果将求导看成一种运算,那么积分是其逆运算,也就是已知f(x),要找一个函数F(x),使得F'(x)=f(x),所以相对而言,积分比求导要困难。
2、基本常用积分公式

3、凑微分法。凑微分法,把被积分式凑成某个函数的微分的积分方法,换元积分两种方法中第一类换元积分法的别称。
4、常见的凑微分公式。

